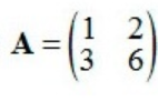
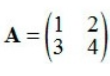
Матрица А удовлетворяет уравнению А2 - 3А + 2E = O (E - единичная матрица, О - нулевая). Обязательно ли у нее будет обратная?
- нет
- да
- все зависит от матрицы А
| длина вектора равна единице | нулевой вектор |
| длина вектора равна нулю | положительный вектор |
| Нормированный вектор |
.Каковы собственные числа ф?

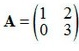
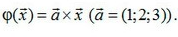
Найти собственные числа φ:
Варианты ответа:
Варианты овтета: 





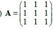
Каковы собственные числа φ? 


Варианты ответа: 




Варианты ответа: 

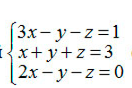
, являются:
Варианты ответа: 



