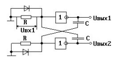
Ответ на вопрос по электронике №321740: При формировании импульса Uвых2 напряжение изменяется во времени по закону: Uвх (t)=Uвх (0)- [Uвх (∞)-Uвх (0)]·exp(-t/τ), где τ=C·(R+R1 вых ). Какое из приведенных соотношений определяет длительность импульса?При формировании импульса Uвых2 напряжение изменяется - Ответ на вопрос по электронике №321740При формировании импульса Uвых2 напряжение изменяется - Ответ на вопрос по электронике №321740
2025-03-272025-03-27СтудИзба
При формировании импульса Uвых2 напряжение изменяется - Ответ на вопрос по электронике №321740
-47%
Вопрос
При формировании импульса Uвых2 напряжение изменяется во времени по закону: Uвх (t)=Uвх (0)- [Uвх (∞)-Uвх (0)]·exp(-t/τ), где τ=C·(R+R1 вых ).
Какое из приведенных соотношений определяет длительность импульса?Ответ

Если нужен другой вариант работы или отдельная задача из любой работы, пишите в комментарии

















