Модель управления ... отличается тем, что она более устойчива к колебаниям спроса
- / запасами с установленной периодичностью пополнения запасов до постоянного уровня
- / запасами по минимуму-максимуму и с постоянной периодичностью пополнения запасов
- / материальным потоком без запасов
synergy2098
synergyexampro
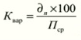
, где Пср - это ...

































