Чему равно напряжение корпуса электроустановки относительно - Ответ на вопрос по БЖД №1125112
-42%
Вопрос
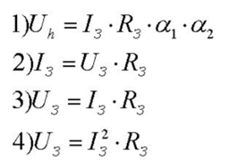
Чему равно напряжение корпуса электроустановки относительно земли при заземленном корпусе?
- 2)
- 4)
- 1)
- 3)
Ответ

🎓 Поможем сдать всё — тесты, практику, экзамены, курсовые, дипломы, отчёты! Закроем долги под ключ 🔑 Ведём от первой сессии до диплома 🏆 Работаем с Синергией, МЭИ и другими вузами 🤝 Гарантия результата или возврат денег 💰 Пиши! 🚀
meimei1337














