Вопрос есть в коллекциях
Установите соответствие между определением понятий методов сетевого планирования и их наименованием:
- непрерывная последовательность выполнения работ от исходного до завершающего события
- событие, которому не предшествует работа
- неделимое действие, характеризующееся затратами ресурсов и временем исполнения
- событие, не имеющее последующих работ
- начало или окончание одной или нескольких работ
- непрерывная последовательность выполнения работ от исходного до завершающего события наибольшей продолжительностью выполнения
- критический путь
- завершающее
- полный путь
- исходное
- событие
- работа





















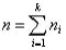
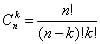
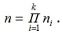
- данная формула обозначает количество комбинаций, называющихся (вставить слово) с повторениями







































