Показатели надежности сложных систем
7. ?юърчрЄхыш эрфхцэюёЄш ёыюцэ?ї ёшёЄхь.
?рфхцэюёЄ№ ёшёЄхь? ¤ыхьхэЄют фюыцэр юяЁхфхы Є№ё т чртшёшьюёЄш юЄ эрфхцэюёЄш ёрьшї ¤ыхьхэЄют ё єўхЄюь шї тыш эш эр ЇєэъЎшюэшЁютрэшх тёхщ ёшёЄхь?. ?Єю тыш эшх т юёэютэюь чртшёшЄ юЄ ўшёыр ¤ыхьхэЄют ш шї тчршьэюую ёюхфшэхэш . ?ршсюыхх ўрёЄю тёЄЁхўрхЄё яюёыхфютрЄхы№эюх, ярЁрыыхы№эюх, р Єръцх ёьх°рээюх ёюхфшэхэшх ¤ыхьхэЄют. ?юырур юЄърч? ¤ыхьхэЄют эхчртшёшь?ьш, ьюцэю, шёяюы№чє ЄхюЁхь? ю ёєььх ш ю яЁюшчтхфхэшш тхЁю ЄэюёЄхщ ёюс?Єшщ, яюыєўшЄ№ ЇюЁьєы? фы ЁрёўхЄр яюърчрЄхыхщ эрфхцэюёЄш ъюьсшэрЎшщ шч фтєї шыш сюыхх ¤ыхьхэЄют.
7.1. ?юёыхфютрЄхы№эюх ёюхфшэхэшх ¤ыхьхэЄют. ?хЁхчхЁтшЁютрээ?х ёшёЄхь?. ?ЄЁєъЄєЁэр ёїхьр.
? ¤Єшї ёшёЄхьрї, ёюёЄю ?шї шч n ¤ыхьхэЄют, фы схчюЄърчэющ ЁрсюЄ? эхюсїюфшьр юфэютЁхьхээр ЁрсюЄр тёхї ¤ыхьхэЄют. ?Єърч ы?сюую ¤ыхьхэЄр т?ч?трхЄ юЄърч тёхщ ёшёЄхь?. ?Єю юўхтшфэю яЁш яюёыхфютрЄхы№эюь ёюхфшэхэшш ¤ыхьхэЄют. ?фэръю ш яЁш ярЁрыыхы№эюь (ЇръЄшўхёъш) ёюхфшэхэшш ¤ыхьхэЄюта ьюцхЄ эрсы?фрЄ№ё Єр цх ёшЄєрЎш , хёыш Єръцх эх фюяєёърхЄё тючьюцэюёЄ№ т?їюфр шч ёЄЁю ы?сюую ¤ыхьхэЄр. ?Ёєушьш ёыютрьш, юср ¤Єш Ёрчэ?ї ёюхфшэхэш ёююЄтхЄёЄтє?Є т фрээюь ёыєўрх юфэющ ш Єющ цх ыюушъх лшыш?: юЄърч юфэюую шыш фЁєуюую ¤ыхьхэЄр яЁштюфшЄ ъ юЄърчє тёхщ ёшёЄхь?.
?ЁшьхЁрьш Єръшї ёшёЄхь ьюуєЄ ёыєцшЄ№:
р)ааааа тюфютюф, ёюёЄю ?шщ шча яа яюёыхфютрЄхы№эю ёюхфшнэхээ?ї єўрёЄъют ЄЁєс (Ёшё.2), ртрЁш ы?сюую шч єўрёЄъют т?ч?нтрхЄ яюыэюх яЁхъЁр?хэшх яюфрўш тюф?, Є.х. юЄърч ёшёЄхь?;
с)ааааа эрёюёэр ёЄрэЎш (??), юсюЁєфютрээр а яа ярЁрыыхы№нэю тъы?ўхээ?ьш эрёюёрьш, яюфр??шї тьхёЄх ЄЁхсєхьюх ъюышўхёЄтю тюф? ; т?їюф шч ЁрсюЄ? ы?сюую юфэюую эрёюёр яЁштюфшЄ ъ эхфюяєёЄшьюьє ёэшцхэш? яюфрўш тюф? ёЄрэЎшхщ ёэрсцрхьюьє юс·нхъЄє (ёь.яЁшэЎшяшры№эє? ёїхьє ёюхфшэхэш ¤ыхьхэЄют эр Ёшё.2);
т) ёшёЄхьр ЄЁхї ярЁрыыхы№эю тъы?ўхээ?ї тюфютюфют, фы єёях°эющ ЁрсюЄ? ъюЄюЁющ эхюсїюфшьр юфэютЁхьхээр ЁрсюЄр тёхї тюнфютюфют;
Рекомендуемые материалы
ы
?ръшх ёшёЄхь? эрч?тр?Єё эхЁхчхЁтшЁютрээ?ьш ш шь ёююЄтхЄёЄтєхЄ юфэр ш Єр цх ёЄЁєъЄєЁэр ёїхьр эрфхцэюёЄш ( Ёшё.3 ). ?х яєЄрЄ№ ёю ёїхьющ Їшчшўхёъюую ёюхфшэхэш !аааааааааааааааааааааааааааааааааааааааааааа

аааааааааааааааааааааааааааааааааааааааааааааа Ёшё.3
?ўхтшфэю, ўЄю хёыш ?i (t) - эрфхцэюёЄ№ i -ую ¤ыхьхэЄр, Єюа яю ЄхюЁхьх ю яЁюшчтхфхэшш тхЁю ЄэюёЄхщ ёюс?Єшщ, тхЁю ЄэюёЄ№ Єюую, ўЄю тёх ¤ыхьхэЄ? сєфєЄ юфэютЁхьхээю ЁрсюЄрЄ№ схчюЄърчэю т Єхўхэшх чрфрээюую шэЄхЁтрыр тЁхьхэш t ( ыюушър лш? ), сєфхЄ Ёртэр яЁюшчтхфхэш? тхЁю ЄэюёЄхщ:
ааааааааааааааааааааааааа Pc (t)=а P1 (t) P2 (t) P3 (t)ЕЕ. Pn (t)ааааааааааааааааааааааааааааа (44)
? ёыєўрх ¤ъёяюэхэЎшры№эюую чръюэр ЁрёяЁхфхыхэш шьххь
ааааааааааааа P = e Ц λ1t аe Ц λ2tа ЕЕ.. e Ц λntаааааа =а e Ц (λ1 + λ2 +ЕЕ+ λn) tааааааааааааа аааааааааааааааааааааааааа(45)
?эЄхэёштэюёЄ·аа юЄърчютаа тёхщаа ёшёЄхь?аа юЄё?фр,аа юўхтшфэю,аа Ёртэраа ёєььх шэЄхэёштэюёЄхщ юЄърчют ¤ыхьхэЄют:
ааааааааааааааааааааааааа λёаа = λ1а + λ2 +λ3а + ...... + λnааааааааааааааааааааааааааааааааааааааааааааааааааа аааааааааааааааааааааааааа(46)
?Ёхфэхх тЁхь схчюЄърчэющ ЁрсюЄ? ёшёЄхь? сєфхЄ Ёртэю :
ааааааааааааааааааааааааааааааааааааааа ?ёа =а
ааааааааааааааааааааааааааааааааааааааааааааааааааааааааааааааааааааа(47)
?эрышчшЁє аа ¤Єша ЇюЁьєы?, ааьюцэюаа ёфхырЄ№аа т?тюф,аа ўЄюаа яЁшаа ёЄЁєъЄєЁэюь яюёыхфютрЄхы№эюь ёюхфшэхэшш ¤ыхьхэЄют:
ааа р)аа ё єтхышўхэшхь ўшёыр ¤ыхьхэЄют эрфхцэюёЄ№ ёшёЄхь? єьхэ№°рхЄё ;
ааа с)аа эрфхцэюёЄ№ ёшёЄхь? ьхэ№°х эрфхцэюёЄш ы?сюую хх ¤ыхьхэЄр ш ёЁхфэхх тЁхь схчюЄърчэющ ЁрсюЄ? ёшёЄхь? сєфхЄ ьхэ№°х, ўхь ёЁхфэхх тЁхь схчюЄърчэющ ЁрсюЄ? юфэюую ¤ыхьхэЄр.
7.2а ?рЁрыыхы№эюх ёюхфшэхэшх ¤ыхьхэЄют. ?хчхЁтшЁютрэшх ёшёЄхь.
?ы яют?°хэш эрфхцэюёЄш ЁрсюЄ? ёыюцэ?ї ёшёЄхь яЁшьхэ ?Є ЁхчхЁтшЁютрэшх шї ¤ыхьхэЄют. ?ЁшьхЁрьш Єръшї ёшёЄхь, эряЁшьхЁ, ты хЄё эрёюёэр ёЄрэЎш , ёюёЄю ?р шч 4-ї эрёюёют, шч ъюЄюЁ?ї Єюы№ъю 2 ты ?Єё Ёрсюўшьш, р юёЄры№э?х эрїюф Єё т ЁхчхЁтх. ?ыш ёшёЄхьр, ёюёЄю ?р шч 3-ї ярЁрыыхы№эю тъы?ўхээ?ї эшЄюъ тюфютюфют, яЁшўхь фы яюфрўш ЁрёўхЄэюую ъюышўхёЄтр тюф? фюёЄрЄюўэю ЁрсюЄ? 2-ї, р ЄЁхЄ№ эрїюфшЄё т ЁхчхЁтх. ?рфрўр юяЁхфхыхэш тхЁю ЄэюёЄш схчюЄърчэющ ЁрсюЄ? Єръшї ёшёЄхь яЁш ярЁрыыхы№эюь ёюхфшэхэшш ¤ыхьхэЄют Ёх°рхЄё эхёъюы№ъю ёыюцэхх. ?ўшЄрхь, эряЁшьхЁ, ўЄю фы схчюЄърчэющ ЁрсюЄ? тёхщ ёшёЄхь? фюёЄрЄюўэю ЁрсюЄ? їюЄ с? юфэюую шч хх ¤ыхьхэЄют. ?ёЄры№э?х, Єръшь юсЁрчюь, ты ?Єё ЇръЄшўхёъш ЁхчхЁтэ?ьш.
?єЄ№ Ёх°хэш єяЁю?рхЄё , хёыш шёяюы№чютрЄ№ яЁюЄштюяюыюцэ?щ яюърчрЄхы№ - тхЁю ЄэюёЄ№ юЄърчр. ?хЁю ЄэюёЄ№ юЄърчр ёшёЄхь? шч n ярЁрыыхы№эю ЁрсюЄр??шї ¤ыхьхэЄют, ъюуфр юэш тёх т?їюф Є шч ёЄЁю ( ыюушър лш? ), Ёртэр яЁюшчтхфхэш? тхЁю ЄэюёЄхщ :
аааааааааааааааааааааа Qc(t) =а Q1 аQ2а Q3 .. Qn = (1-P1) (1-P2)Е.(1-Pn)аааааааааааааааааааааааааааааааа (48)
?юуфр тхЁю ЄэюёЄ№ схчюЄърчэющ ЁрсюЄ? Єющ цх ёшёЄхь? Ёртэр :
?c(t) = 1 -а Qc =а 1 Ц (1-P1) (1-P2)Е.(1-Pn)ааааааааааааааааааааааааааааааааааа (49)
?ряЁшьхЁ, фы ёшёЄхь? шч фтєї ярЁрыыхы№эю ёюхфшэхээ?ї ¤ыхьхэЄют ёЄЁєъЄєЁэр ёїхьр фы ЁрёўхЄр эрфхцэюёЄш шчюсЁрцхэр эр Ёшё.4.

аааааааааааааааааааааааааааааааааааааааааааааа Ёшё.4
? ёыєўрх ¤ъёяюэхэЎшры№эюую чръюэр ЁрёяЁхфхыхэш тхЁю ЄэюёЄхщ т ¤Єюь ёыєўрх сєфхь шьхЄ№ :
аааааааааааааа ?c(t) =а 1 Ц (1- e Цλ1t) (1- e Цλ2t )
?ёыш юср ¤ыхьхэЄр юфшэръют?, Є.х. λ1 = λ2 = λ , Єюуфр
аааааааааааааааааааааааааааааа ?c(t) =а 2 e Цλ t - e Ц2 λ tааааааааааааа аааааааааааааааааааааааааааааааааааааа(50)
?хЁю Єэюх ( ёЁхфэхх ) тЁхь схчюЄърчэющ ЁрсюЄ? Єръющ ёшёЄхь?
аааааааааааааааааааааааааааааааааааа ? ёЁ. ёа =
аа-а
аа=а
аааааааааааааааааааааааааааааааааааааааааа(51)
а?ўхтшфэю,аа ўЄюаа яЁшаа ярЁрыыхы№эюьаа ёюхфшэхэшшаа ¤ыхьхэЄютаа юс?р эрфхцэюёЄ№ ёшёЄхь? яют?°рхЄё . ?эр т?°х, ўхь эрфхцэюёЄ№ юфэюую ¤ыхьхэЄр. ?ръющ ёяюёюс яют?°хэш эрфхцэюёЄш эрч?тр?Є ЁхчхЁтшЁютрэшхь. ?ёыш ¤ыхьхэЄ ёшёЄхь? эх эруЁєцхэ, Єю юэ эрч?трхЄё лїюыюфэ?ь? ЁхчхЁтюь. ?хчхЁтэ?щ ¤ыхьхэЄ ьюцхЄ с?Є№ Єръцх тъы?ўхэ т ЁрсюЄє, ъръ юёэютэющ ¤ыхьхэЄ, т ¤Єюь ёыєўрх юэ эрч?трхЄё луюЁ ўшь? ЁхчхЁтюь. ? ёшёЄхьрї тюфюёэрсцхэш °шЁюъю шёяюы№чєхЄё ЁхчхЁтшЁютрэшх фы юсхёяхўхэш ЄЁхсєхьющ эрфхцэюёЄш тюфюяюфрўш.а ?хчхЁтшЁє?Єё тюфюяЁютюфэ?х ёююЁєцхэш т Ўхыюь шыш шї ¤ыхьхэЄ? (эрёюё?, Їшы№ЄЁ?, юЄёЄющэшъш, хьъюёЄш ш Є.ф.).
аааааааа ?ёэютэ?ь ярЁрьхЄЁюь ЁхчхЁтшЁютрэш ты хЄё хую ъЁрЄэюёЄ№. ?єёЄ№а nа - юс?хх ўшёыю ¤ыхьхэЄют т ёшёЄхьх, ра m - ўшёыю ¤ыхьхэЄют, эхюсїюфшь?ї фы эюЁьры№эющ ЁрсюЄ? ёшёЄхь?. ?юф ъЁрЄэюёЄ№? ЁхчхЁтшЁютрэш аа rа яюэшьрхЄё юЄэю°хэшх ўшёыр ЁхчхЁтэ?ї ¤ыхьхэЄют ъ ўшёыє юёэютэ?їа :аааааа
аааааааааааааааааааааааааааааааааааааааа r = (n - m) / m аааааааааааааааааааааааааааааааааааааааааааааааааааааааааа(52)
аааааааа ??трхЄ ЁхчхЁтшЁютрэшх ё Ўхыющ ъЁрЄэюёЄ№?, ъюуфр тхышўшэра r ахёЄ№ Ўхыюх ўшёыю (т ¤Єюь ёыєўрх тёхуфра m = 1), ш ЁхчхЁтшЁютрэшх ё фЁюсэющ ъЁрЄэюёЄ№?, ъюуфра rа хёЄ№ фЁюсэюх эхёюъЁр?рхьюх ўшёыю. ?ряЁшьхЁа
r = 2/2а хёЄ№ ЁхчхЁтшЁютрэшх ё фЁюсэющ ъЁрЄэюёЄ№?.
аааааааа 1). ?Ёш ЁхчхЁтшЁютрэшш ё яюёЄю ээю тъы?ўхээ?ь ЁхчхЁтюь ш ё Ўхыющ ъЁрЄэюёЄ№?аа тхЁю ЄэюёЄ№ схчюЄърчэющ ЁрсюЄ? ёшёЄхь? юяЁхфхы хЄё яю ЇюЁьєыха :
ааааааааааааааааааааааааааа ?ёшёЄ (t) = 1 - [ 1 - ?1(t) . ?2(t) .........а ?m ]r+1 ,аааааааааааа аааааааааааааааааа(53)а
уфх ?i(t) - тхЁю ЄэюёЄ№ схчюЄърчэющ ЁрсюЄ? юЄфхы№эюуюа i-ую ¤ыхьхэЄр ёшёЄхь?.
аааааааа ?ёыш тёх ¤ыхьхэЄ? ёшёЄхь? юфшэръют?, Єю яЁш ¤ъёяюэхэЎшры№эюь чръюэх эрфхцэюёЄш яюыєўрхьаааааааа
ааааааааааааааааааааааааааааааааааааааааааа ?ёшёЄ(t) = 1 - [ 1 - e -l×m ] r+1 ,ааааааааааааааааааааааааааааааааа (54)
р фы ёЁхфэхую тЁхьхэш эрЁрсюЄъш ёшёЄхь? эр юЄърч
ааааааааааааааааааааааааааааааааааааааааааа ?ёЁ ёшёЄ = (1/l) .
1/(1+i)аааааааааааааааааааааааааааааааааааааа (55)
аааааааа ?фхё№ааа lа -а шэЄхэёштэюёЄ№ юЄърчр юЄфхы№эюую ¤ыхьхэЄр. ?ряЁшьхЁ, яЁша n=3а ша m=1а яюыєўрхь ( r =( n-m)/m=(3-1)/1=2):
?ёшёЄ= 1- [1-?m] r+1а =1- [1-P]3 = 1 - (1-3.P+3.P2-P3) = 3P-3P2+P3 =
= 3.х-lt - 3.х-2l×t+e3lT
рааа ?ёЁ ёшёЄ = 1/l ( 1+1/2+1/3 ) = 11/6l
аааааааа
2). ?Ёш ЁхчхЁтшЁютрэшш ё яюёЄю ээю тъы?ўхээ?ь ЁхчхЁтюь ш фЁюсэющ ъЁрЄэюёЄ№? яюыєўрхь ёыхфє??шх ЇюЁьєы? :
ааааааааааааааааааааааааааа ?ёшёЄ(t)= å C . ?юn-i(t) . å(-1)j . Cij . ?юj(t)ааааааааааааааааааааааааааааааа (56)
аааааааааааааааааааааааааааааааааа TёЁ ёшёЄ= 1/l .
а1/( m+i)аааааааааааааааааааааааааааааааааааааааааааааа (57)
уфхаа ?ю(t)аа -а тхЁю ЄэюёЄ№ схчюЄърчэющ ЁрсюЄ? юЄфхы№эюую ¤ыхьхэЄр ёшёЄхь?,а ?ijа - ўшёыю ёюўхЄрэшща шча iаа ¤ыхьхэЄют яюаа j .а ?ряЁшьхЁ, яЁшаааааа n =4аа ша m =2 (r=n-m/m=2/2) яюыєўрхь :
?ёшёЄ(t)= C40 . ?04 + ?41 . ?03 . (1-?11 . ?0) +?42 . ?02 . (1-?21 . ?0+?22 . ?02)=
=å?4i . ?04-i .å(-1)j . ?ij . ?0j = P04+4P03.(1-?0)+6.?02.(1-2?0+?02) =
=6.?02-8?03+3?04
?ёЁ ёшёЄ= 1/l .
1/(2+i) = 1/l . (1/2+1/3+1/4) = 
аааааааа
3). ? ёыєўрх юЄёєЄёЄтш ЁхчхЁтшЁютрэш (r=0) , ъюуфр ъ юЄърчє ёшёЄхь? яЁштюфшЄ юЄърч ы?сюую шч хх ¤ыхьхэЄют, яюыєўрхь :
ааааааааааааааааааааааа ?ёшёЄ(t)=?1(t) . ?2(t) . ?3(t) ............?n(t)ааааааааааааааааааааааа ааааааааааааааааааааа(58)
аааааааа ?ы юфшэръют?ї ¤ыхьхэЄют ш яЁш ¤ъёяюэхэЎшры№эюь чръюэх эрфхцэюёЄш :аааааааааааааааа
аааааааааааааааааааааааааааааааааааа ?ёшёЄ (t)= P0n(t) = e - n×l×tаааааааааааааааааааааааааааааааааааааааааааааааа (59)
ааааааааааааааааааааааа ааааааааааааааа?ёЁ ёшёЄ=
ааааааааааааааааааааааааааааааааааааааааааааааааааааааааааааааааа(60)
аааааааа ?ы тёхї єърчрээ?ї ёыєўрхт ьюцэю ёюёЄртшЄ№ ЄрсышЎє, эряЁшьхЁ, фы ёшёЄхь?, ёюёЄю ?хщ эх сюыхх ўхьа n = 5 юфэюЄшяэ?ї ¤ыхьхэЄют, яЁш ы?с?ї ЄЁхсютрэш ї, эръырф?трхь?ї эр тючьюцэ?х ёюёЄю эш шї ЁрсюЄ? (ЁрсюЄра mа ¤ыхьхэЄют шчаа n ), уфх ърцфр ъыхЄър ЄрсышЎ? фрхЄ ЇюЁьєыє фы т?ўшёыхэш тхЁю ЄэюёЄш схчюЄърчэющ ЁрсюЄ? ёююЄтхЄёЄтє??хщ ёшёЄхь?.
аааааааааааааааа аааааааааааааааааааааааааааааааааааааааааааааааааааааааааааааааааааааааааааа?рсышЎр 1
| m-ўшёыю ¤ых ьхэЄют фы эюЁьры№э. | ааааа ?эрўхэш ?ёшёЄ яЁш юс?хь ўшёыха nа ¤ыхьхэЄют т ёшёЄхьх | ||||
| ?рсюЄ? | аn=1аа | аа n=2 | аааааа n=3 | ааааааа n=4 | аааааааа n=5 |
| аааааааа ааааааа 1 | аа ?0аа | 2?0-?02 | 3?0-3?02+?03 | 4?0-6?02+4?03- -?04 | 5?0-10?02+10?03- -5?04+?05 |
| аааааа ааааааа 2 | аа аа - | ааа ?02 | ааа 3?02-2?03 | 6?02-8?03+3?04 | 10?02-20?03+ +15?04-4?05 |
| ааааааа 3 | аа - | аааа - | аааааа ?03 | аа 4?03-3?04 | 10?03-15?04+6?05 |
| ааааааа 4 | аа - | аааа - | ааааааа - | аааааааа ?04 | аа 5?04-4?05 |
| ааааааа 5 | аа - | аааа - | ааааааа - | ааааааааа - | ааааааааа ?05 |
ааааааааааааааа
7.3. ?ьх°рээюх ёюхфшэхэшх ¤ыхьхэЄют
?с?ўэю ёьх°рээюх ёюхфшэхэшх ¤ыхьхэЄют т ёшёЄхьє яЁхфёЄрты хЄ ёюсющ ярЁрыыхы№эю-яюёыхфютрЄхы№эюх шыш яюёыхфютрЄхы№эю-ярЁрыыхы№эюх ёюхфшэхэшх ¤ыхьхэЄют.
аааааааа ?ряЁшьхЁ, эр Ёшё. 5а яЁштхфхэ? фтр трЁшрэЄр юст чъш эрёюёэющ ёЄрэЎшш, ёюёЄю ?хщ шч фтєї эрёюёют. ?ўхтшфэю, ўЄю т юсюшї ёыєўр ї шёяюы№чєхЄё юфэю ш Єю цх юсюЁєфютрэшх, яюьшью эрёюёют шьх?Єё Єръцх чрфтшцъш ш юсЁрЄэ?х ъырярэ?. ?рър шч ¤Єшї ёїхь юсырфрхЄ сюы№°хщ эрфхцэюёЄ№?, яЁш єёыютшш, ўЄю юср эрёюёр ты ?Єё Ёрсюўшьш?а
аааааааа




аааааааааааааааааааа
ааааааааа
ааааааааааааааааааааааааааааааааааааааааааааааааааааааааааааа
аа чааааааааааа эаааааааааа юъаааааааааааааааааааааааааааааааааааа ааачаааааааааааааааааааа эаааааааааааааааа юъ
аааааааааааааааа р)ааааааааааааааааааааааааааааааааааааааааааааааааааааааааааааааааааааааа с)
аааааааааааааааааааааааааааааааааааааааааааа Ёшё.5
? фрээюь ёыєўрх шьххь ёьх°рээюха ёюхфшэхэшх ¤ыхьхэЄют т ёшёЄхьє. ?ы юсюшї ёыєўрхт ёыхфєхЄ ёюёЄртшЄ№ ёЄЁєъЄєЁэ?х ёїхь? эрфхцэюёЄш ш эряшёрЄ№ єЁртэхэш эрфхцэюёЄш.аа
?ўхтшфэю, ўЄю фы ёїхь? 5р юЄърч эрёюёэющ ёЄрэЎшш яЁюшёїюфшЄ яЁш т?їюфх шч ёЄЁю яю ыюушъха УшышФа ы?сюую шч хх ъюьяюэхэЄют. ?ЄЁєъЄєЁэр ёїхьр эрфхцэюёЄш сєфхЄ т ¤Єюь ёыєўрх яюёыхфютрЄхы№эющ, юэр яЁхфёЄртыхэр эр Ёшё.6.

аааааааааааа чааааааааааааааа эааааааааааааа юъаааааааааааааа чаааааааааааааа эааааааааааааа юъ
ааааааааааааааааааааааааааааааааааааааааааааааааааааааааааааа Ёшё.6
?хЄЁєфэю ёюёЄртшЄ№ єЁртэхэшх эрфхцэюёЄш фы ¤Єюую ёыєўр :
аааааааааааааааа Pc (t) = Pч(t) Pэ(t) Pюъ(t) Pч(t) Pэ(t) Pюъ(t) ,аааааааааааааааааааааааааааааааа (61)
ш эрщЄш тхЁю ЄэюёЄ№ схчюЄърчэющ ЁрсюЄ? ёшёЄхь? т Єхўхэшх чрфрээюую шэЄхЁтрыр тЁхьхэш.
? ёыєўрх ёїхь? 5с юфэюЄшяэ?х ¤ыхьхэЄ? ёюхфшэхэ? т сыюъш, ъюЄюЁ?х ёюхфшэхэ? яюёыхфютрЄхы№эю. ?Єърч сыюъют, ёюёЄю ?шї шч чрфтшцхъ шыш юсЁрЄэ?ї ъырярэют, яЁюшёїюфшЄ яю ыюушъх УшФ, юЄърч сыюър эрёюёют яЁюшёїюфшЄ яю ыюушъха УшышФ. ? ёююЄтхЄёЄтшш ё ыюушъющ юЄърчют ёыхфєхЄ ёюёЄртшЄ№ ёЄЁєъЄєЁэє? ёїхьє эрфхцэюёЄш тёхщ эрёюёэющ ёЄрэЎшш, ъюЄюЁр т ¤Єюь ёыєўрх сєфхЄ ёьх°рээющ, ярЁрыыхы№эю-яюёыхфютрЄхы№эющ (Ёшё.7).
![]() |
ааааааааааааааааааааааа чаааааааааааааааааааааа эаааааааааааааа эаааааааааааааааааааааа юъ
аааааааааааааааааааааааааааааааааааааа ааааааааааааааааЁшё.7
?рыхх ёыхфєхЄ ёюёЄртшЄ№ єЁртэхэшх эрфхцэюёЄш фы ърцфюую шч ЄЁхї сыюъют (яюы№чє ё№ Єрсы.1), р чрЄхь фы тёхщ эрёюёэющ ёЄрэЎшш. ?Ёртэхэшх эрфхцэюёЄш шьххЄ т ¤Єюь ёыєўрх ёыхфє??шщ тшф:
ааааааааааааа Pc (t) = [2∙ Pч(t) Ц P2 ч(t)] ∙ [P2 э(t)] ∙ [ 2∙ Pюъ(t) Ц P2 юъ(t)]ааааааааа (62)
?рЄхь ёыхфєхЄ яЁюшчтхёЄш ЁрёўхЄ тхЁю ЄэюёЄш схчюЄърчэющ ЁрсюЄ? т єърчрээюь шэЄхЁтрых тЁхьхэш ш ёфхырЄ№ т?тюф ю Єюь, ърър шч ёїхь юст чъш юсырфрхЄ сюы№°хщ эрфхцэюёЄ№?.
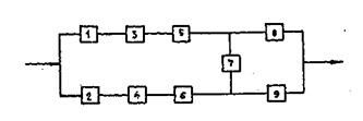
7.4.а ?юхфшэхэшх ¤ыхьхэЄют ёшёЄхь? "ьюёЄшъюь".
?ёыш ЁхчхЁтшЁюнтрээ?х ¤ыхьхэЄ? ёшёЄхь? фюяюыэшЄхы№эю ёюхфшэхэ? юстюфэющ ышнэшхщ (яхЁхь?ўъющ), Єю Єръшх ёшёЄхь? сюыхх эрфхцэ? яю ётюхщ ЁрсюЄюёяюёюсэюёЄш; эряЁшьхЁ, фтр тюфютюфр, ёюхфшэхээ?х яхЁхнь?ўъющ, фтр эрёюёр, ЁрсюЄр??шх эр юс?є? ёїхьє тюфюёэрсцхэш ш ёюхфшэхээ?х ьхцфє ёюсющ юстюфэющ ышэшхщ (ёь. Ёшё. 8 ш 9).
ааааааааааааааааааааааааааааааааааааааааааааааааааааааааааааааа 1ааааааааа 3ааааааааааа 5аааааааааааааааа 8
















































ааааааааааааааааааааааааа аааааааааааааааааааааааааааааааа ааааааааааааааааааааа
аааааааааааааааааааааааааааааааааааааааааааааааааааааааааааааааааааааааааааааааааааааааааааааа 4аааааааааааааааааааааааааа 7














ааааааааааааааааааааааааааааааааааааааааааааааааааааааааааааааааааааааааааааааааа 2аааааааааа ааааааааааааааа6ааааааааааааааааааа 9
![]() | |||||||||
![]() | ![]() | ![]() | ![]() | ||||||
ааааааааааааааааааааааа Ёшё. 8аааааааааааааааааааааааааааааааааааааааааааааааааааааааааааааааааааааа Ёшё. 9
?ръшх яЁшэЎшяшры№э?х ёїхь? ёюхфшэхэшщ ¤ыхьхэЄют ёшёЄхь эрч?тр?Єё "ьюёЄшъюь". ?ы ЁрёўхЄр эрфхцэюёЄш Єръшї ёшёЄхь эхюсїюфшью ёэрўрыр ёюёЄртшЄ№ ёЄЁєъЄєЁэє? ёїхьє ё єўхЄюь ЄЁхнсютрэшщ ъ ЁрсюЄюёяюёюсэюёЄш ¤ыхьхэЄют ёшёЄхь?. ?ряЁшьхЁ, ёшёЄхьр эрёюёэющ уЁєяя? (Ёшё.9) сєфхЄ эюЁьры№эю ЇєэъЎшюэшЁютрЄ№, хёыш сєфєЄ ЁрсюЄюёяюёюсэ? ¤ыхьхэЄ?а 1,а 3, 5, 8 шыш 1, 3, 5, 7, 9 шыш 2, 4, 6, 9 шыш 2, 4, 6, 7, 8 . ?ЄЁєъЄєЁэр аа ёїхьр т ¤Єюь ёыєўрх сєфхЄ шьхЄ№ тшф, яЁхфёнЄртыхээ?щ эр Ёшё.10.
аV
?шё.10
?ы ЁрёўхЄр юс?хщ эрфхцэюёЄш яЁш ёюхфшэхэшш "ьюёЄшъюь" яЁшьхэ хЄё яЁртшыю Ёрчыюцхэш эр ьэюцшЄхыш: лэрфхцэюёЄ№ ёшёЄхь? Ёртэр эрфхцэюёЄш ьюёЄшър (т фрээюь ёыєўрх ¤ыхьхэЄр 7) ?7, єьэюцхээющ эр эрфхцэюёЄ№ ёшёЄхь? схч эхуюа ?їа ( Ёшё. 11р ), яы?ё яЁюшчтхфхэшх юЄърчр ьюёЄшър (1-?7)а эр эрфхцэюёЄ№ юёЄрт°шїё ¤ыхьхэЄюта (Ёшё.11с)?, Єю хёЄ№
Ещё посмотрите лекцию "ОГАРЁВ Николай Платонович" по этой теме.
Є.х.ааааааааааааааааааааааааааааааааа ?ё(t) = ?7?ї + (1-?7)?yаааааааааааааааааааааааааааа ааааааааааа(63)
аааааааааааааааааааааааааааааааааааааааааааааааааа ?ї
р)
ааааааааааааааааааааааааааааааааааааааааааааааааааа ?є
с)
аааааааааааааааааааааааааааааааааааааааааааааааааааа Ёшё. 11




















