Полный магнитный момент атома
§ 5.6. Полный магнитный момент атома.
Полный магнитный момент атома складывается из полных спинового и орбитального моментов атома:
. Для каждого из них мы можем записать:
и
. Таким образом, полный ммагнитный момент не будет лежать на одной оси с полным механическим моментом.
Рассмотри случай изолированного атома. В изолированном атоме
. Если вектор
сохраняет своё направление в пространстве, вектора
и
должны прецессировать вокруг
. Следовательно, прецессируют и полные механический и магнитный моменты. Из рисунка 55 видно,
и прецессирует вокруг оси
.
– проекция
на
и
. Для достаточно большого промежутка времени среднее значение
, поэтому

. Таким образом, если на языке моментов описывать магнитоэлектрические (оптические) эффекты, можно пользоваться
. Найдём связь между
и
. Из рисунка 55 видно, что
(1).
(2),
. Следовательно,
. Найдём
. Из уравнения (2) следует, что
,
;
. Запишем уравнения для проекции магнитного момента на направление вектора
:

"Ян, рожденная из инь" - тут тоже много полезного для Вас.
.
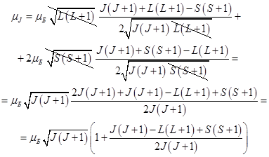
Подставим последние два выражения в (1) с учётом полученных выше выражений для косинусов:

Подставим значения для каждого момента, выраженное через квантовые числа:

Выражение , помещённое в круглых скобках, называется фактором Ланде:
. Таким образом,
(3). Выражение (3) аналогично тому, которое связывает спиновой орбитальный момент с орбитальным механическим. Из этой аналогии следует смысл фактора Ланде – это гиромагнитное отношение для полного магнитного момента. В частности, получается, что если спиновое квантовое число равно нулю, то
, тогда
. Если же магнитный момент обусловлен спиновым движением, то есть
, то
, а
.






















