Для студентов МТИ по предмету Теория информации и кодированияТеория информации и кодирования. 98 ответов на вопросы к экзаменуТеория информации и кодирования. 98 ответов на вопросы к экзамену
5,005121
2025-05-022025-05-02СтудИзба
Ответы к экзамену: Теория информации и кодирования. 98 ответов на вопросы к экзамену
Хит
Описание
Теория информации и кодирования
98 ответов на вопросы к экзамену- Тема 1. Базовые понятия теории информации
- Тема 2. Случайные величины, векторы и процессы
- Тема 3. Оптимальный прием сигналов в системах передачи
- Тема 4. Теория информации
- Тема 5. Основы теории кодирования
Список вопросов
Расположите в порядке возрастания вероятности следующие события, которые могут произойти при вытягивании случайной карты из стандартной колоды (52 карты).
Расположите следующие сообщения в порядке вырастания количества информации, вычисленной с помощью геометрической меры (в качестве информационного элемента используется символ сообщения).
Расположите следующие источники в порядке возрастания энтропии.
Расположите форматы вещественных чисел в порядке увеличения числа байт.
Неверно, что к целям кодирования относится …
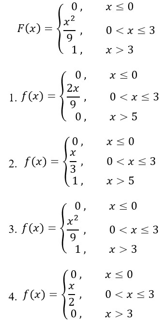
Среди представленных функций выберите плотность распределения случайной величины ξ с функцией распределения F(x).

Установите соответствие между источниками и количеством информации, которое содержится в элементарном сообщении данного источника (все элементарные сообщения считаются равновероятными).
Установите соответствие между числами и системами счисления, в которых она записаны (если запись числа возможна в различных системах счисления, то выбирается система с наибольшим основанием).
Отрезки, на которые делится диапазон значений сигнала при квантовании, называются …
Установите соответствие между типами кодирования и примерами.
Расположите в порядке увеличения числа исправляемых ошибок коды.
Расположите в порядке увеличения количества информации, вычисленной с помощью комбинаторной меры, следующие коды.
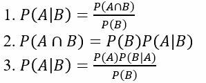
С помощью формулы H(X) – H(X|Y) можно определить …
Расположите в порядке возрастания частоты колебаний следующие процессы.
Код Шеннона-Фано для источника X, вероятности появления символов которого представлены в таблице, имеет вид …

Неверно, что возможными событиями при одном подбрасывании двух игральных костей являются следующие - …
Верно, что код Хэмминга …
Целью оптимального приема сигнала является …
Установите соответствие между записями числа, представленного на рисунке, и использованным кодом.

Установите соответствие между периодом T и частотой f дискретизации.
Представленная формула описывает связь …

На выход канала, использующего простейший (7, 1)-код, поступило сообщение 1010101. После выполнения процедуры исправления ошибок и декодирования будет получено сообщение …
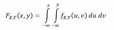
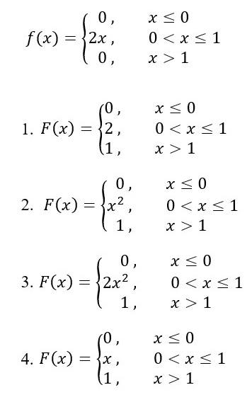
Среди представленных ниже функций выберите функцию распределения случайной величины ξ с плотностью распределения f(x).

Расположите в порядке увеличения информационного объема следующие оцифрованные звуки (длительность каждого из звуков равна 1 мин).
Установите соответствие между формулой, представленной на рисунке, и ее названием.

На выход канала, использующего (7, 4)-код Хэмминга, поступило сообщение 1011110. После выполнения процедуры исправления ошибок и декодирования будет получено сообщение …
Расположите в правильной последовательности действия, осуществляемые при помехоустойчивом кодировании.
Расположите в порядке возрастания частоты колебаний процессы, графики которых представлены на рисунке.

Источник U генерирует символы {А, Б, В, Г, Д, Е}. Символы источника закодированы с помощью неравномерного кода по правилу А – 01, Б – 10, В – 110, Г – 1110, Д – 11110, Е – 11111. Декодированное сообщение 0111100111001 имеет вид …
Расположите следующие сообщения в порядке увеличения количества информации.
Информационным параметром сигнала называется параметр, определяющий …
Установите соответствие между величинами и их определениями.
Установите соответствие между таблицей распределения вероятностей случайной величины и функцией распределения.

Установите соответствие между типами случайных процессов и типами сигналов.
Расположите в правильном порядке преобразования сигнала, осуществляемые аналогово-цифровым преобразователем.
Расположите в правильной последовательности элементы системы связи, идущие после источника сообщений.
Элементарное дискретное сообщение – это …
Расположите в правильной последовательности действия, осуществляемые при исправляющем ошибки помехоустойчивом декодировании.
Теорема Шеннона о кодировании для канала без помех позволяет конструировать …
Установите соответствие между подходами к измерению информации и их описанием.
Установите соответствие между элементами системы связи и их описанием.
Установите соответствие между этапами преобразования сигнала и их описанием.
Пусть информационный параметр λ = 25. Расположите следующие оценки параметра от наиболее далекой к наиболее точной?
Верно, что средняя взаимная информация между двумя источниками …
ИКМ-системы также называются …
Два раза подбрасывается игральная кость. Будем считать пространством элементарных исходов множество пар чисел (i, j), где i – это число очков, выпавших при первом подбрасывании, j – это число очков, выпавших при втором подбрасывании. Установите соответствие между событиями и числом элементарных исходов, входящих в это событие.
В векторных изображениях кривые изображаются с помощью…
Задачу приема непрерывных сообщений можно рассматривать как задачу…
Гипотезами называются …
При переводе числа, представленного на рисунке, в двоичную системы счисления получится …

Количество бит, передаваемых в единицу времени, называется …
Источник U генерирует символы {А, Б, В, Г, Д, Е}. Символы источника закодированы с помощью равномерного кода по правилу А – 000, Б – 001, В – 010, Г – 011, Д – 100, Е – 101. Декодированное сообщение 101100000 имеет вид …
Расположите системы счисления в порядке возрастания количества цифр в записи числа, которое представлено на рисунке.

Установите соответствие между видами кодирования и механизмом их работ.
Передатчик можно рассматривать как устройство, состоящее из …
Согласно теореме Котельникова об отсчетах, частота дискретизации, которой достаточно для точной дискретизации сигнала с наибольшей частотой 169 Гц, равна …
Расположите в порядке увеличения информационного объема следующие растровые изображения
Расположите в порядке возрастания математического ожидания следующие случайные величины, представленные на рисунке.

Случайным процессом называется …
С помощью представленной на рисунке формулы находится значение…

С помощью формулы H(Y) + H(X|Y) можно определить …
Установите соответствие между максимальной частотой сигнала F и частотой f, необходимой для точной дискретизации этого сигнала.
Пусть Ω = {1, 2, 3, 4}. Среди представленных множеств алгебрами событий являются …

Пропускной способностью (информационной емкостью) канала называется …
Установите соответствие между событиями, представленными на рисунке, и их описанием, если при бросании двух игральных костей событие A – «сумма очков четна», а событие B – «сумма очков нацело делится на 3»?

Установите соответствие между помехоустойчивым кодом и его описанием.
Вероятность того, что при вытягивании случайной карты из стандартной колоды (52 карты), будет вытянута карта не червовой масти равна …
Верно, что код с троекратным повторением…
Верно, что операция квантования …
Установите соответствие между типами сигнала и их описанием.
Код Хаффмана для источника X, вероятности появления символов которого представлены в таблице, имеет вид … правильного ответа из нескольких ![]()

Установите соответствие между типами экономичного кодирования и их описанием.
Верно, что для точного приема сигнала можно …
В теории информации под сообщением понимается информация, …
В модели RGB красному цвету будет соответствовать набор …
В модели CMYK красному цвету будет соответствовать набор…
Установите соответствия между приведенными на рисунке формулами и величинами, которые вычисляются с помощью этих формул.

Функция, ставящая в соответствие элементарным исходам некоторые вещественные числа, называется …
Цифровой сигнал – это …
Процесс дискретизации также называется …
Неверно, что к форматам оцифрованных звуковых файлов относится …
Процесс преобразования сигнала в сообщение, осуществляющийся в приемнике, называется …
Пропускная способность канала определяется …
Расположите в порядке возрастания вероятности следующие события, которые могут произойти при одном подбрасывании двух игральных костей.
При переводе числа, представленного на рисунке, в девятеричную систему счисления получится …

Оценка информационного параметра, минимизирующая математическое ожидание некоторой функции потерь, называется …
Образцы звука, используемые для MIDI-файлов и хранящиеся в памяти звуковой карты, называются …
Нормализованное представление вещественных чисел характеризуется тем, что …
Некто задумал целое число в интервале от 1 до 8. Опыт состоит в угадывании этого числа. На наши вопросы Некто может отвечать только «Да» или «Нет». Мы должны задать … вопроса, чтобы узнать задуманное число и полностью снять начальную неопределенность.
Для более точной дискретизации сигнала нужно …
Неверно, что к структурным мерам информации относится …
На выход канала, использующего (7, 6)-код с проверкой на точность, поступило сообщение 1000110. Какое сообщение будет получено после выполнения процедуры исправления ошибок и декодирования?
Мера неопределенности, характеризующая среднее количество информации, содержащееся в элементарном сообщении источника, называется …
Информация, основанная на однозначной связи символов и сигналов с объектами реального мира, называется …
Случайным вектором называется …
Из 1000 ламп 380 принадлежат к первой партии, 270 – ко второй партии, остальные к третьей. В первой партии 4% брака, во второй – 3%, в третьей – 6%. Наудачу выбирается одна лампа. Определить вероятность того, что выбранная лампа – бракованная.
Теорема Шеннона о кодировании для канала с помехами позволяет конструировать …
Если на вход канала поступило сообщение 01010101, а на выходе канала было получено сообщение 10011001, то набор ошибок, соответствующий полученному сообщению, имеет вид …
Характеристики ответов (шпаргалок) к экзамену
Тип
Коллекция: Ответы (шпаргалки) к экзамену
Учебное заведение
Семестр
Просмотров
31
Количество вопросов
Стараюсь держать низкие цены на коллекции ответов на вопросы!
Комментарии

Отзыв
сдал