Для студентов МГТУ им. Н.Э.Баумана по предмету Теория вероятностей и математическая статистика (ТВиМС)Теория вероятностейТеория вероятностей
4,97514427
2023-10-222024-09-04СтудИзба
Вариант 17 - ДЗ №1 - 8 Задач
ДЗ 1: Теория вероятностей вариант 17
-43%
Описание
Типовой расчет по теории вероятностей №й, 9 задач, зачтено
Задача 1:
Задача 2:
Задача 3:
Задача 4:
Задача 5:
Задача 6:
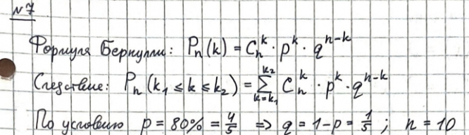
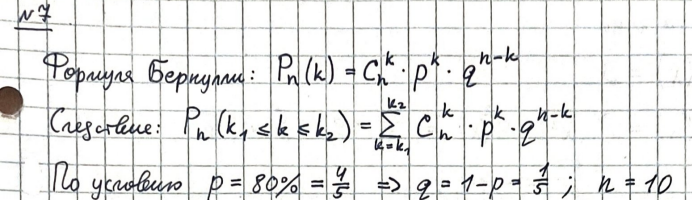
Задача 7:
Задача 8:
Показать/скрыть дополнительное описание
Задача 1:








Домашнее задание по начерту МГТУ 1 семестр типовик инженерная графика геометрия.
Характеристики домашнего задания
Учебное заведение
Номер задания
Вариант
Просмотров
34
Качество
Фото рукописных листов
Размер
4,01 Mb
Список файлов
Вариант 17 Тервер ДЗ-1 18.pdf

Спасибо за покупку! Я буду очень рад, если поставишь справедливую оценку купленному файлу :3 Ищи больше работ в моём профиле, там много нужного тебе!