Для студентов Иннополис по предмету Теория вероятностей и математическая статистикатесттест
4,96529611
2022-11-052025-09-16СтудИзба
ДЗ: тест
-51%
Описание

Характеристики домашнего задания
Учебное заведение
Просмотров
10
Качество
Идеальное компьютерное
Размер
259,59 Kb
Список файлов
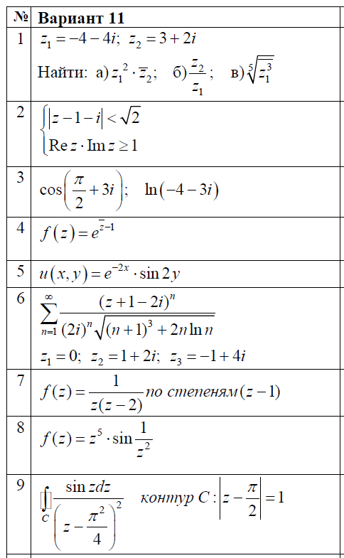
Ответы к ДЗ №1 ТФКП - Вариант 11.pdf

Вам все понравилось? Получите кэшбэк - 40 рублей на Ваш счёт при покупке. Поставьте оценку и напишите положительный комментарий к купленному файлу. После Вы получите деньги на ваш счет.