ДЗ 3: Типовик по статистике 6 задач вариант 15
Описание
Задача 1. а) Смоделировать выборку следующим образом: на листе бумаги нарисовать параллельные линии на расстоянии в диаметр рублёвой монеты (или пятирублёвой). Подбрасывая n = 25 раз монету, измерить с точностью до миллиметра длину, накрываемого монетой отрезка (см. рис.).
Для полученной в результате эксперимента выборки, построить вариационный ряд, найти эмпирическую функцию распределения Fn(x) длины накрываемого отрезка и построить её график в системе координат, найти выборочное среднее и выборочную дисперсию.
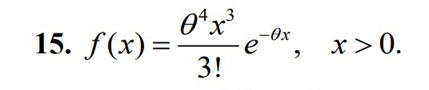
Задача 2. По выборке x1, x2, ..., xn. найти методом моментов выражения для точечных оценок параметров, если плотность распределения имеет вид:

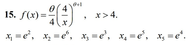
Задача 3. По выборке х1, х2, ..., хn найти общий вид оценки максимального правдоподобия и подсчитать ее конкретное значение для приведенных данных.

Задача 4. Выборка Х1, …, Х25 получена из нормального распределения. Найти симметричные доверительные интервалы с уровнем доверия g = 0.95 для среднего значения и дисперсии (используя информацию об известном втором параметре и не используя эту информацию).
a=1. q=1
х1 | -0,5 |
х2 | 1,6 |
х3 | 1 |
х4 | 0,5 |
х5 | 3,2 |
х6 | 2,4 |
х7 | 0,2 |
х8 | 3,8 |
х9 | 1,5 |
х10 | 0,5 |
х11 | 1,4 |
х12 | -0,8 |
х13 | 1,1 |
х14 | 2,2 |
х15 | 2,7 |
х16 | -1 |
х17 | 1,3 |
х18 | 1,7 |
х19 | 2,7 |
х20 | 0,6 |
х21 | 0,9 |
х22 | 2 |
х23 | 0,2 |
х24 | 0,3 |
х25 | 1,1 |
Задача 5. В условиях задачи 1 найти теоретическое среднее значение наблюдаемой случайной величины. По экспериментальным данным для первой и второй выборок построить приближенный доверительный интервал для математического ожидания с уровнем доверия g = 0.9.
Задача 6. Построить приближенный доверительный интервал с уровнем доверия g = 0.99 для параметра p - вероятность «успеха» в схеме Бернулли при условии, что в серии из 60 испытаний наблюдалось 42 «успехов».