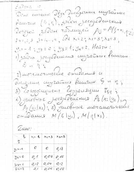
Для студентов МГТУ им. Н.Э.Баумана по предмету Теория вероятностей и математическая статистика (ТВиМС)Типовой расчет №2Типовой расчет №2
5,00515
2019-05-312025-09-16СтудИзба
ДЗ 2: Типовой расчет №2 вариант 10
-51%
Описание






Характеристики домашнего задания
Учебное заведение
Номер задания
Вариант
Просмотров
878
Качество
Скан рукописных листов
Размер
10,12 Mb
Список файлов
Типовой расчет №2.pdf

Вам все понравилось? Получите кэшбэк - 40 рублей на Ваш счёт при покупке. Поставьте оценку и напишите положительный комментарий к купленному файлу. После Вы получите деньги на ваш счет.