Для студентов МГТУ им. Н.Э.Баумана по предмету Теория функций комплексного переменного (ТФКП)Теория функций комплексного переменногоТеория функций комплексного переменного
4,795337
2022-06-072022-06-07СтудИзба
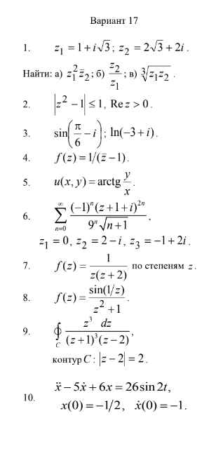
ДЗ 1: Теория функций комплексного переменного вариант 17
Описание
Характеристики домашнего задания
Учебное заведение
Семестр
Номер задания
Вариант
Теги
Просмотров
37
Размер
2,55 Mb
Список файлов
dz2-tfkp-v17.pdf

МГТУ им. Н.Э.Баумана


















