Для студентов по предмету Теория автоматического управления (ТАУ)Дана система уравнений, описывающих поведение некоторой системы автоматического управленияДана система уравнений, описывающих поведение некоторой системы автоматического управления
5,0053129
2025-09-252025-09-25СтудИзба
ДЗ: Дана система уравнений, описывающих поведение некоторой системы автоматического управления
Новинка
Описание
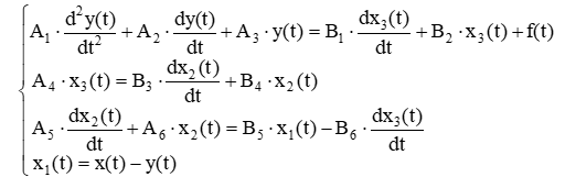
Дана система уравнений, описывающих поведение некоторой системы автоматического управления
где x(t) − входное воздействие (координата);
y(t) − выходное воздействие (координата);
x1(t), x2(t), x3(t), − промежуточные координаты системы;
f(t) − возмущающее воздействие.
А1, А2, A3, А4, А5, А6, В1, В2, В3, B4, B5, B6 − постоянные коэффициенты;
Таблица 1 − Значения постоянных коэффициентов
Задание 1
Используя преобразования Лапласа, представить уравнения в операторной форме, определить передаточные функции и построить структурную схему.
Задание 2
Используя правила эквивалентных преобразований, упростить схему, полученную в задании 1 до одного звена с обратной связью и определить передаточные функции по задающему и возмущающему воздействиям замкнутой и разомкнутой системы. По цепи обратной связи определить коэффициент усиления.
Задание 3
Используя данные задания 1, построить амплитудно-фазовую (АФЧХ), амплитудную (АЧХ) и фазовую (ФЧХ) частотные характеристики системы.
Задание 4
Используя данные задания 1, провести анализ устойчивости системы с помощью одного из алгебраических критериев устойчивости и одного из частотных. Если система неустойчива, то определить пути достижения устойчивости.
Задание 5
Используя данные задания 1 и, приняв f(t) = 0, определить значения установившейся ошибки системы.

y(t) − выходное воздействие (координата);
x1(t), x2(t), x3(t), − промежуточные координаты системы;
f(t) − возмущающее воздействие.
А1, А2, A3, А4, А5, А6, В1, В2, В3, B4, B5, B6 − постоянные коэффициенты;
Таблица 1 − Значения постоянных коэффициентов
А1 = 0,06 | А2 = 0,10 | A3 = 3,00 | А4 = 0,80 | А5 = 6,00 | А6 = 0,09 |
В1 = 0,10 | В2 = 3,00 | В3 = 0,80 | B4 = 0,10 | B5 = 6,00 | B6 = 3,0 |
Задание 1
Используя преобразования Лапласа, представить уравнения в операторной форме, определить передаточные функции и построить структурную схему.
Задание 2
Используя правила эквивалентных преобразований, упростить схему, полученную в задании 1 до одного звена с обратной связью и определить передаточные функции по задающему и возмущающему воздействиям замкнутой и разомкнутой системы. По цепи обратной связи определить коэффициент усиления.
Задание 3
Используя данные задания 1, построить амплитудно-фазовую (АФЧХ), амплитудную (АЧХ) и фазовую (ФЧХ) частотные характеристики системы.
Задание 4
Используя данные задания 1, провести анализ устойчивости системы с помощью одного из алгебраических критериев устойчивости и одного из частотных. Если система неустойчива, то определить пути достижения устойчивости.
Задание 5
Используя данные задания 1 и, приняв f(t) = 0, определить значения установившейся ошибки системы.
Характеристики домашнего задания
Просмотров
1
Качество
Идеальное компьютерное
Размер
3,13 Mb
Список файлов
ТАУ, вариант 88.docx

Если нужен другой вариант работы или отдельная задача из любой работы, пишите в комментарии