ДЗ КМ-3: Расчетное задание. Основы теории вычислительных систем вариант 7
Новинка
Описание
КМ-3, вариант 7, оценка 5 (отлично)
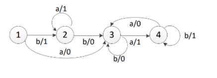
1. Задан автомат Мили в виде графа. Построить совмещенную таблицу переходов/выходов. Найти эквивалентный ему автомат Мура, построить граф и отмеченную таблицу переходов.
2. Записать событие, состоящее из всех слов алфавита x={a,b,c}, которое начинается буквами c и a, а заканчиваются отрезком b или a. Представить выражение в виде графа.3. Представить в виде графа регулярное выражение
b ∙ (b ∨ c)* ∙ a ∙ (d ∨ c)* ∨ b
4. Составить регулярные выражения для автомата А, сравнивающего две строки в алфавите {a,b}. Количество символов в строках произвольно. Окончание строк фиксируется буквой «c». Сравниваемые строки имеют одинаковое количество символов.
Если строки равны, то А выдает сигнал y1,
Если строки не равны, то А выдает сигнал y2
5. Построить автомат по продаже билетов стоимостью 6 руб. Автомат может принимать монеты 1,2,5 руб. Сдачу автомат не выдает. При вводе неверной суммы – сброс денег. Использовать синтез по регулярным выражениям.
6. Провести структурный синтез по графу автомата.
1. Задан автомат Мили в виде графа. Построить совмещенную таблицу переходов/выходов. Найти эквивалентный ему автомат Мура, построить граф и отмеченную таблицу переходов.
2. Записать событие, состоящее из всех слов алфавита x={a,b,c}, которое начинается буквами c и a, а заканчиваются отрезком b или a. Представить выражение в виде графа.3. Представить в виде графа регулярное выражение b ∙ (b ∨ c)* ∙ a ∙ (d ∨ c)* ∨ b
4. Составить регулярные выражения для автомата А, сравнивающего две строки в алфавите {a,b}. Количество символов в строках произвольно. Окончание строк фиксируется буквой «c». Сравниваемые строки имеют одинаковое количество символов.
Если строки равны, то А выдает сигнал y1,
Если строки не равны, то А выдает сигнал y2
5. Построить автомат по продаже билетов стоимостью 6 руб. Автомат может принимать монеты 1,2,5 руб. Сдачу автомат не выдает. При вводе неверной суммы – сброс денег. Использовать синтез по регулярным выражениям.
6. Провести структурный синтез по графу автомата.

Характеристики домашнего задания
Учебное заведение
Семестр
Номер задания
Вариант
Программы
Просмотров
0
Качество
Идеальное компьютерное
Размер
291,56 Kb
Преподаватели
Список файлов
КМ-3.docx
Комментарии
Нет комментариев
Стань первым, кто что-нибудь напишет!
ИДДО НИУ «МЭИ» 















