ДЗ: Методы оптимизации на примере сложной функции
Описание
Задание сдано Аттеткову А.В. без замечаний.
Представлены все методы первых двух частей задания (кроме симплексных методов).
Файлы: pdf + docs, py-файл с исходным кодом.
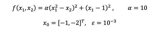
Задание решено и оформлено для сложной функции вида:
Код внутри может быть адаптирован под ФУНКЦИЮ ЛЮБОГО ВАРИАНТА.
МЕТОДЫ ВНУТРИ ПИТОН-ФАЙЛА:
Преподаватель внимателен и придирчив к оформлению и виду графиков, поэтому рекомендуется поменять настройки визуала внутри кода, чтобы избежать повторений с прошлыми годами.
Представлены все методы первых двух частей задания (кроме симплексных методов).
Файлы: pdf + docs, py-файл с исходным кодом.
Задание решено и оформлено для сложной функции вида:
Код внутри может быть адаптирован под ФУНКЦИЮ ЛЮБОГО ВАРИАНТА.
МЕТОДЫ ВНУТРИ ПИТОН-ФАЙЛА:
- Градиентный спуск с дроблением шага
- Метод наискорейшего спуска
- Метод сопряженных градиентов
- Метод Полака-Рибьера
- Покоординатный спуск
- Метод ДФП
- Метод Хука-Дживса
Преподаватель внимателен и придирчив к оформлению и виду графиков, поэтому рекомендуется поменять настройки визуала внутри кода, чтобы избежать повторений с прошлыми годами.
Файлы условия, демо
Характеристики домашнего задания
Предмет
Учебное заведение
Просмотров
15
Качество
Идеальное компьютерное
Размер
2,15 Mb
Преподаватели
Список файлов
._optPkg.py
._оптимизация_дз.docx
._оптимизация_дз.pdf
optPkg.py
оптимизация_дз.docx
оптимизация_дз.pdf
Комментарии
Нет комментариев
Стань первым, кто что-нибудь напишет!
МГТУ им. Н.Э.Баумана

















