Для студентов по предмету МатематикаНайти интервалы возрастания и убывания, максимумы и минимумы функцииНайти интервалы возрастания и убывания, максимумы и минимумы функции
5,0053309
2025-01-262025-01-26СтудИзба
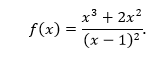
Задача: Найти интервалы возрастания и убывания, максимумы и минимумы функции
Описание
Найти интервалы возрастания и убывания, максимумы и минимумы функции
![]()

Характеристики решённой задачи
Предмет
Просмотров
1
Качество
Идеальное компьютерное
Размер
47,83 Kb
Список файлов
image (3).png

Если нужен другой вариант работы или отдельная задача из любой работы, пишите в комментарии