Для студентов по предмету МатематикаОпределить тип дифференциального уравнения, привести его к каноническому виду, указать преобразование независимых переменных, приводящее к каноническоОпределить тип дифференциального уравнения, привести его к каноническому виду, указать преобразование независимых переменных, приводящее к каноническо
5,0053217
2025-01-162025-01-16СтудИзба
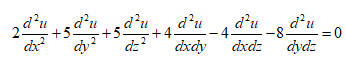
Определить тип дифференциального уравнения, привести его к каноническому виду, указать преобразование независимых переменных, приводящее к каноническому виду:
Описание
Определить тип дифференциального уравнения, привести его к каноническому виду, указать преобразование независимых переменных, приводящее к каноническому виду:
![]()

Характеристики решённой задачи
Предмет
Просмотров
2
Качество
Идеальное компьютерное
Размер
59,46 Kb
Список файлов
image (33).png
image (32).png

Если нужен другой вариант работы или отдельная задача из любой работы, пишите в комментарии