Для студентов по предмету МатематикаВычислить момент инерции относительно указанной оси координат однородного тела, занимающего областьВычислить момент инерции относительно указанной оси координат однородного тела, занимающего область
5,0053236
2025-01-152025-01-15СтудИзба
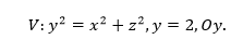
Задача: Вычислить момент инерции относительно указанной оси координат однородного тела, занимающего область
Описание
Вычислить момент инерции относительно указанной оси координат однородного тела, занимающего область , ограниченную данными поверхностями. Плотность тела принять равной 1.
![]()

Характеристики решённой задачи
Предмет
Просмотров
2
Качество
Идеальное компьютерное
Размер
30,9 Kb
Список файлов
image (16).png

Если нужен другой вариант работы или отдельная задача из любой работы, пишите в комментарии