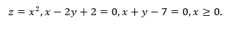
Для студентов по предмету МатематикаВычислить объем тела, ограниченного заданными поверхностямиВычислить объем тела, ограниченного заданными поверхностями
5,0053305
2025-01-152025-01-15СтудИзба
Задача: Вычислить объем тела, ограниченного заданными поверхностями
Описание
Вычислить объем тела, ограниченного заданными поверхностями
![]()

Характеристики решённой задачи
Предмет
Просмотров
10
Качество
Идеальное компьютерное
Размер
28,01 Kb
Список файлов
image (7).png

Если нужен другой вариант работы или отдельная задача из любой работы, пишите в комментарии