Для студентов МГТУ им. Н.Э.Баумана по предмету Кратные интегралы и рядыКриволинейные и поверхностные интегралыКриволинейные и поверхностные интегралы
5,0053
2023-09-182024-09-04СтудИзба
Вариант 15 - ДЗ №2 - "Криволинейные и поверхностные интегралы" - 4 задачи
ДЗ 2: Криволинейные и поверхностные интегралы вариант 15
-43%
Описание
Типовой расчет №2 по математическому анализу, "Криволинейные и поверхностные интегралы", зачтено
Условие:
Задача 1:
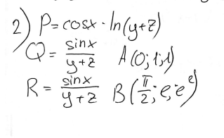
Задача 2:
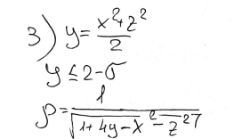
Задача 3:
Задача 4:
Показать/скрыть дополнительное описание
Условие:





Показать/скрыть дополнительное описание
Домашнее задание по матан МГТУ 3 семестр типовик теория поля криволинейные кратные поверхностные интегралы.
Характеристики домашнего задания
Предмет
Учебное заведение
Семестр
Номер задания
Вариант
Просмотров
49
Качество
Скан рукописных листов
Размер
1,04 Mb
Список файлов
Вариант 15 Кратные 420.pdf

Спасибо за покупку! Я буду очень рад, если поставишь справедливую оценку купленному файлу :3 Ищи больше работ в моём профиле, там много нужного тебе!