Для студентов МГТУ им. Н.Э.Баумана по предмету Математический анализПределы и непрерывность функцийПределы и непрерывность функций
5,00518
2021-09-012025-04-12СтудИзба
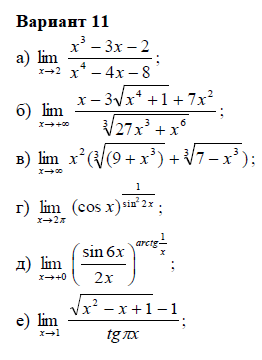
ДЗ 1.2: Пределы и непрерывность функций вариант 11
Описание




Характеристики домашнего задания
Предмет
Учебное заведение
Семестр
Номер задания
Вариант
Просмотров
1496
Качество
Скан рукописных листов
Размер
2,46 Mb
Список файлов
Пределы и непрерывность функций.pdf

Вам все понравилось? Получите кэшбэк - 40 рублей на Ваш счёт при покупке. Поставьте оценку и напишите положительный комментарий к купленному файлу. После Вы получите деньги на ваш счет.