Для студентов МГТУ им. Н.Э.Баумана по предмету Математический анализПределы и непрерывность функцийПределы и непрерывность функций
4,92522895
2020-11-032025-04-13СтудИзба
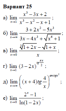
ДЗ 1.2: Пределы и непрерывность функций вариант 25
-51%
Описание




Характеристики домашнего задания
Предмет
Учебное заведение
Семестр
Номер задания
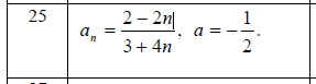
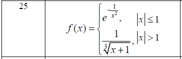
Вариант
Просмотров
359
Качество
Фото рукописных листов
Размер
1,36 Mb
Список файлов
Пределы и непрерывность функций.pdf

Вам все понравилось? Получите кэшбэк - 40 рублей на Ваш счёт при покупке. Поставьте оценку и напишите положительный комментарий к купленному файлу. После Вы получите деньги на ваш счет.