Для студентов МГТУ им. Н.Э.Баумана по предмету Интегралы и дифференциальные уравнения (ИиДУ)Дифференциальные уравненияДифференциальные уравнения
5,00578
2024-07-212024-07-23СтудИзба
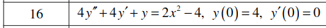
ДЗ 2: Дифференциальные уравнения вариант 16
Описание
Файлы условия, демо
Характеристики домашнего задания
Учебное заведение
Семестр
Номер задания
Вариант
Просмотров
13
Качество
Фото рукописных листов
Размер
5,46 Mb
Список файлов
Домашнее задание №2 «Дифференциальные уравнения».pdf
Комментарии
Нет комментариев
Стань первым, кто что-нибудь напишет!






МГТУ им. Н.Э.Баумана
__Pomogator__



















