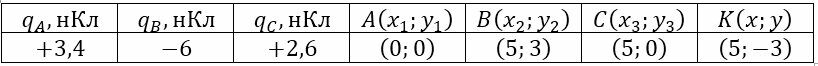
Главная » Учебные материалы » Физика » Решения задач » Несколько классов/семестров » Электрическое поле создано системой точечных зарядов, расположенных в одной плоскости в точках A, B, C. Определить напряжённость и потенциал поля в точке K. Координаты точек (в см) указаны в табл:
Для студентов по предмету ФизикаЭлектрическое поле создано системой точечных зарядов, расположенных в одной плоскости в точках A, B, C. Определить напряжённость и потенциал поля в тоЭлектрическое поле создано системой точечных зарядов, расположенных в одной плоскости в точках A, B, C. Определить напряжённость и потенциал поля в то
5,0054
2021-11-08СтудИзба

Электрическое поле создано системой точечных зарядов, расположенных в одной плоскости в точках A, B, C. Определить напряжённость и потенциал поля в точке K. Координаты точек (в см) указаны в табл:

Описание

Электрическое поле создано системой точечных зарядов, расположенных в одной плоскости в точках A, B, C. Определить напряжённость и потенциал поля в точке K. Координаты точек (в см) указаны в табл:

Характеристики решённой задачи

Предмет
Программы
Просмотров
43
Качество
Идеальное компьютерное
Размер
185,73 Kb

Список файлов

Картинка-подпись

Комментарии

Нет комментариев
Стань первым, кто что-нибудь напишет!
Поделитесь ссылкой:
Цена: 99 руб.
Расширенная гарантия +3 недели гарантии, +10% цены
Рейтинг покупателей
5 из 5
Поделитесь ссылкой:
Сопутствующие материалы
Три одинаковых конденсатора, заполненных диэлектриком с диэлектрической проницаемостью ε=2, соединены последовательно и подключены к источнику тока с напряжением U. Во сколько раз и как изменятся электроёмкость системы и суммарная энергия электрическ
Шар и цилиндр, имеющие одинаковые массы и радиусы катятся по горизонтальной поверхности с одинаковыми линейными скоростями, а затем вкатываются на горку с углом наклона к горизонту 30º. Сравнить пути, пройденные телами по горке до высшей точки подъём
Двухатомный газ занимает объём V1=100 л и находится под давлением p1=200 кПа. При нагревании газ расширился при постоянном давлении до объёма V2=300 л, а затем его давление возросло до p2=500 кПа при неизменном объёме. Найти изменение внутренней энер
Cтальной слиток, имеющий форму параллелепипеда с размерами (200×400×500) мм имел начальную температуру tп, °С, а затем был помещен в печь с температурой tж, °С. Определить температуру в центре слитка через τ, час после его загрузки в печь, если коэфф
Изучение поляризации света и проверка закона Малюса
Стеклянный шар радиуса 2 см вносят в однородное электрическое поле с напряженностью 100 В/см. Вычислить суммарный положительный связанный заряд, появляющийся с одной стороны шара. Диэлектрическую проницаемость стекла принять равной 6. Начертить карти

Подобрали для Вас услуги

-33%
-54%
-14%
-30%
Вы можете использовать решённую задачу для примера, а также можете ссылаться на неё в своей работе. Авторство принадлежит автору работы, поэтому запрещено копировать текст из этой работы для любой публикации, в том числе в свою задачу в учебном заведении, без правильно оформленной ссылки. Читайте как правильно публиковать ссылки в своей работе.
Свежие статьи
Популярно сейчас
Как Вы думаете, сколько людей до Вас делали точно такое же задание? 99% студентов выполняют точно такие же задания, как и их предшественники год назад. Найдите нужный учебный материал на СтудИзбе!
Ответы на популярные вопросы
Да! Наши авторы собирают и выкладывают те работы, которые сдаются в Вашем учебном заведении ежегодно и уже проверены преподавателями.
Да! У нас любой человек может выложить любую учебную работу и зарабатывать на её продажах! Но каждый учебный материал публикуется только после тщательной проверки администрацией.
Вернём деньги! А если быть более точными, то автору даётся немного времени на исправление, а если не исправит или выйдет время, то вернём деньги в полном объёме!
Да! На равне с готовыми студенческими работами у нас продаются услуги. Цены на услуги видны сразу, то есть Вам нужно только указать параметры и сразу можно оплачивать.
Отзывы студентов
Ставлю 10/10
Все нравится, очень удобный сайт, помогает в учебе. Кроме этого, можно заработать самому, выставляя готовые учебные материалы на продажу здесь. Рейтинги и отзывы на преподавателей очень помогают сориентироваться в начале нового семестра. Спасибо за такую функцию. Ставлю максимальную оценку.
Лучшая платформа для успешной сдачи сессии
Познакомился со СтудИзбой благодаря своему другу, очень нравится интерфейс, количество доступных файлов, цена, в общем, все прекрасно. Даже сам продаю какие-то свои работы.
Студизба ван лав ❤
Очень офигенный сайт для студентов. Много полезных учебных материалов. Пользуюсь студизбой с октября 2021 года. Серьёзных нареканий нет. Хотелось бы, что бы ввели подписочную модель и сделали материалы дешевле 300 рублей в рамках подписки бесплатными.
Отличный сайт
Лично меня всё устраивает - и покупка, и продажа; и цены, и возможность предпросмотра куска файла, и обилие бесплатных файлов (в подборках по авторам, читай, ВУЗам и факультетам). Есть определённые баги, но всё решаемо, да и администраторы реагируют в течение суток.
Маленький отзыв о большом помощнике!
Студизба спасает в те моменты, когда сроки горят, а работ накопилось достаточно. Довольно удобный сайт с простой навигацией и огромным количеством материалов.
Студ. Изба как крупнейший сборник работ для студентов
Тут дофига бывает всего полезного. Печально, что бывают предметы по которым даже одного бесплатного решения нет, но это скорее вопрос к студентам. В остальном всё здорово.
Спасательный островок
Если уже не успеваешь разобраться или застрял на каком-то задание поможет тебе быстро и недорого решить твою проблему.
Всё и так отлично
Всё очень удобно. Особенно круто, что есть система бонусов и можно выводить остатки денег. Очень много качественных бесплатных файлов.
Отзыв о системе "Студизба"
Отличная платформа для распространения работ, востребованных студентами. Хорошо налаженная и качественная работа сайта, огромная база заданий и аудитория.
Отличный помощник
Отличный сайт с кучей полезных файлов, позволяющий найти много методичек / учебников / отзывов о вузах и преподователях.
Отлично помогает студентам в любой момент для решения трудных и незамедлительных задач
Хотелось бы больше конкретной информации о преподавателях. А так в принципе хороший сайт, всегда им пользуюсь и ни разу не было желания прекратить. Хороший сайт для помощи студентам, удобный и приятный интерфейс. Из недостатков можно выделить только отсутствия небольшого количества файлов.
Спасибо за шикарный сайт
Великолепный сайт на котором студент за не большие деньги может найти помощь с дз, проектами курсовыми, лабораторными, а также узнать отзывы на преподавателей и бесплатно скачать пособия.
Популярные преподаватели
Добавляйте материалы
и зарабатывайте!
Продажи идут автоматически
6869
Авторов
на СтудИзбе
271
Средний доход
с одного платного файла
Обучение Подробнее
{user_main_secret_data}